В кошику (0) товарів

Замов ще на 2000 грн та отримай безкоштовну доставку

Кошик порожній :(

Разом 0 грн

Разом 0 грн

Мультимодальний вплив поєднання міо- та D-хіро-інозитолу з глутатіоном та біологічно активною формою фолієвої кислоти (Quatrefolic®) на перебіг гіперандрогенних форм СПКЯ

24.02.2026

24 хв

0

0

Пігульня №1

Резюме

Мета дослідження: оцінити ефективність комбінації міо-інозитолу (МІ) та D-хіро-інозитолу (DХІ) (40:1) у поєднанні з глутатіоном та біологічно активною формою фолієвої кислоти (Quatrefolic®) щодо впливу на рівень глобуліну, що зв'язує статеві гормони (ГЗСГ), показники гіперандрогенії, інсулінорезистентності та антропометричні параметри у жінок із гіперандрогенними фенотипами СПКЯ та ознаками метаболічно асоційованої стеатотичної хвороби печінки.

Матеріали та методи: 59 жінок репродуктивного віку з класичними формами СПКЯ та ультразвуковими ознаками жирової інфільтрації печінки. Основна група (n = 30) — комплекс МІ + DХІ (2000/50 мг) + глутатіон (50 мг) + Quatrefolic® (400 мкг) двічі на добу; група порівняння (n = 29) — лише модифікація способу життя. Тривалість — 4 місяці.

Результати: Рівень ГЗСГ зріс на 138% (з 26,35 ± 4,56 до 62,88 ± 11,54 нмоль/л), індекс вільного тестостерону знизився у 2,87 раза, рівень ЛГ — у 2,87 раза (з 19,8 до 6,9 Од/л). Овуляторні цикли відновились у 73,3% пацієнток основної групи проти 20,7% у групі порівняння (p < 0,001).

Висновок: Додавання глутатіону та Quatrefolic® до стандартної терапії інозитолами (40:1) демонструє виражений синергічний ефект, відновлює синтетичну функцію печінки, нормалізує рівень ГЗСГ та ефективно коригує гормональні й метаболічні порушення, що суттєво переважає ізольовану модифікацію способу життя.

Ключові слова: синдром полікістозних яєчників, глобулін, що зв'язує статеві гормони, метаболічно асоційована стеатотична хвороба печінки, інсулінорезистентність, гіперандрогенія.

138% Приріст рівня ГЗСГ в основній групі
73,3% Відновлення овуляторних циклів
3,54× Вища ймовірність відновлення овуляції (ВР, 95% ДІ 1,67–7,51)
2,87× Зниження рівня ЛГ та індексу вільного тестостерону
25,6% Зниження індексу HOMA-IR

Вступ

Синдром полікістозних яєчників (СПКЯ) – найбільш розповсюджена та гетерогенна нейроендокринно-обмінна патологія, асоційована з репродуктивною сферою, що системно деструктивно впливає на кардіометаболічний профіль жінок, здоров'я їхнього потомства та загальну якість життя [1, 2]. Поширеність СПКЯ за Роттердамськими критеріями сягає 8–13% серед жінок репродуктивного віку, а в групах високого ризику – до 21%, демонструючи стійке зростання протягом останніх трьох десятиліть, що дає змогу класифікувати його як одну з «хвороб цивілізації», виникнення якої зумовлене синергічною дією несприятливих чинників навколишнього середовища та складного полігенного підґрунтя [3, 4]. Така епідеміологічна ситуація підкреслює критичну актуальність удосконалення терапевтичних стратегій, спрямованих як на патогенетичну корекцію симптомів, так і на превенцію віддалених метаболічних ускладнень.

Водночас у сучасній клінічній практиці спостерігається чіткий запит із боку пацієнток на розширення та індивідуалізацію терапевтичних опцій і підвищення їхньої ефективності. Доведено, що жінки зі СПКЯ мають суттєво вищий ризик психоемоційних порушень:

У 3,78 раза вищим є ризик депресивних симптомів і у 5,62 раза — тривожних симптомів порівняно із жінками без СПКЯ. Ризик розвитку розладів харчової поведінки (зокрема компульсивного переїдання та булімії) зростає на 53% порівняно з популяційним [5, 6].

Розчарування в можливостях медицини часто стають причиною поглиблення зазначених розладів [7]. Окрім цього, особливості нейроендокринних і нейровегетативних процесів за СПКЯ роблять дотримання рекомендацій із модифікації способу життя більш складним для жінок [8–10].

Обмежений прогрес у лікуванні овуляторної дисфункції і гіперандрогенії, а також у профілактиці кардіометаболічних ускладнень СПКЯ часто корениться у відсутності цілісної картини його патогенезу та значній фенотиповій гетерогенності, де біохімічні розлади варіюють від пацієнтки до пацієнтки, виходячи за межі чотирьох основних фенотипових форм. Зокрема, питома вага патогенетичних складових може радикально відрізнятися: від первинної ролі інсулінорезистентності (ІР) за класичних форм з ожирінням до домінування центральних механізмів, пов'язаних із підвищенням частоти імпульсів гонадотропного рилізинг-гормону, за фенотипів із нормальною масою тіла, де ІР наявна лише в латентній, не доступній виявленню рутинними методами формі [11–13].

Зважаючи на гетерогенність патогенезу, клінічних проявів, а також потреб жінок зі СПКЯ, міжнародні клінічні настанови з менеджменту СПКЯ закликають до застосування індивідуалізованих підходів менеджменту [2].

Поряд із такими основними напрямками фармакологічної корекції симптомів СПКЯ, як комбіновані оральні контрацептиви, метформін та стимуляція овуляції, особливе місце в сучасних практиках менеджменту цього синдрому належить ізомерам інозитолу – міо-інозитолу (МІ) та D-хіро-інозитолу (DХІ). Вони виступають ключовими вторинними месенджерами в каскаді передачі сигналу інсуліну [14–17]. Механізм їхньої дії базується на здатності інозитолфосфогліканів регулювати активність транспортерів глюкози (GLUT-4) та активувати ферменти синтезу глікогену, що безпосередньо покращує утилізацію глюкози та знижує гіперінсулінемію [18–20].

Ефекти ізомерів інозитолу не обмежуються впливом на обмін глюкози. На рівні яєчників МІ відіграє важливу роль у сигналінгу фолікулостимулювального гормону (ФСГ), сприяючи фізіологічному дозріванню фолікулів, тоді як DХІ бере участь у регуляції синтезу андрогенів [21, 22]. Багаторічний світовий досвід використання комбінації МІ та DХІ у фізіологічному співвідношенні 40:1 продемонстрував високу ефективність у відновленні овуляторних циклів та зниженні ознак гіперандрогенії [21, 23, 24]. Важливою перевагою інозитолів є їхній винятковий профіль безпеки та хороша переносимість пацієнтками: на відміну від традиційних інсуліносенситайзерів, вони практично не спричиняють шлунково-кишкових побічних ефектів, що є критичним фактором для тривалої прихильності до застосування та зниження рівня тривожності щодо медикаментозного навантаження [21, 23, 25]. Інозитол класифікується FDA як добавка, що загалом є безпечною [26].

Протягом останніх десятиліть науковий дискурс навколо СПКЯ збагатився за рахунок вивчення ролі печінки як ключового ендокринного органа та модулятора гормонально-метаболічних процесів [27–29]. Печінка справедливо посідає центральне місце в цій системі, оскільки вона відповідальна за синтез глобуліну, що зв'язує статеві гормони (ГЗСГ), кліренс інсуліну та метаболізм андрогенів [29, 30].

Результати метааналізу показали, що майже кожна друга жінка зі СПКЯ (43%) страждає на ту чи іншу форму стеатотичної хвороби печінки. Ключовими предикторами захворювання виявилися високі рівні тестостерону, індексу вільних андрогенів та показника HOMA-IR. Додатковим фактором ризику виступала наявність супутнього метаболічного синдрому [31].

Концепція гепато-оваріальної осі постулює наявність множинних двобічних зв'язків між СПКЯ та метаболічно асоційованою стеатотичною хворобою печінки (МАСХП) [32, 33]. На думку авторів, за класичних форм СПКЯ гіперандрогенія поряд з ІР відіграє первинну тригерну роль у формуванні жирової інфільтрації печінки. Надалі вже сама дисфункція гепатоцитів починає поглиблювати системну ІР, гіперандрогенію та овуляторну дисфункцію внаслідок зниження синтезу ГЗСГ, надлишку вільних жирних кислот та оксидативного стресу [34]. Незважаючи на те що міжнародні доказові настанови наразі не містять обов'язкового скринінгу на МАСХП за СПКЯ [2], рекомендації ендокринологічних та гепатологічних спільнот чітко визначають цей синдром як значущий фактор ризику [35–37].

Особливе значення в контексті патогенетичного зв'язку між СПКЯ та метаболічними розладами відіграє ГЗСГ, який сьогодні розглядається не лише як транспортний білок, а й як специфічний гепатокін та біомаркер функціонального стану печінки. Оскільки синтез ГЗСГ відбувається переважно в гепатоцитах, його низька концентрація може слугувати маркером жирової інфільтрації печінки та раннім предиктором розвитку МАСХП, навіть за нормальної ваги [38–40].

У дослідженні на базі аналізу даних 854 жінок європеоїдної раси зі СПКЯ було виявлено, що низький рівень ГЗСГ (< 26,1 нмоль/л) спостерігався у 25,4% пацієнток і корелював із вищими показниками ІМТ та глікемічного профілю. Дослідники встановили оптимальний поріг індексу HOMA на рівні 2,1 як маркер ІР, що узгоджується з критеріями Європейської групи з вивчення інсулінорезистентності (> 2,0) [41]. До того ж ГЗСГ виступає медіатором у розвитку ІР за СПКЯ: зниження його продукції під впливом ліпотоксичності та оксидативного стресу в печінці призводить до зростання фракції вільного тестостерону, що за принципом замкненого кола поглиблює метаболічну дисфункцію [28, 34].

Отже, визначення рівня ГЗСГ дає змогу не лише оцінити вільну фракцію тестостерону, а й виступає малоінвазивним інструментом для скринінгу стеатозу печінки в жінок із фенотиповими формами СПКЯ [40].

Усе вищезазначене обґрунтовує доцільність інтеграції в комплексні схеми лікування СПКЯ в поєднанні з МАСХП речовин, що цілеспрямовано покращують функцію гепатоцитів, зокрема потужного антиоксиданту глутатіону [42]. Ми припускаємо, що попри неодноразово продемонстровану ефективність інозитолів, терапевтичний успіх буде вищим у популяції жінок з ознаками МАСХП за умови додавання до схеми глутатіону (50 мг) та активної форми фолатів (Quatrefolic® 400 мкг).

Мета дослідження: уперше оцінити вплив комбінації МІ + DХІ (40:1) 4000/100 мг + глутатіон 100 мг + Quatrefolic® 800 мкг (МІ + DХІ (40:1) 2000/50 мг + глутатіон 50 мг + 5-метилтетрагідрофолат (5-МТГФ) 400 мкг у продукті ДуоМіо двічі на добу упродовж 4 місяців) на рівень ГЗСГ як біохімічного маркера жирової інфільтрації печінки, а також овуляторну дисфункцію, гіперандрогенію та ІР у жінок з гіперандрогенними формами СПКЯ (фенотипи А та В).

Матеріали та методи

Було оцінено досвід використання продукту ДуоМіо компанії «Сістем Фарм», що містить МІ + DХІ (40:1) 2000/50 мг + глутатіон 50 мг + 5-МТГФ 400 мкг двічі на добу упродовж 4 місяців за дизайном відкритого порівняльного дослідження за участі 59 жінок віком від 22 до 34 років із фенотиповими формами СПКЯ А (класичний фенотип) та В (неповний класичний фенотип) відповідно до діагностичних критеріїв 2003 року та ознаками жирової інфільтрації печінки за даними стеатометрії та еластографії. Обстеження та ведення пацієнток здійснювалось в амбулаторних умовах клінік ДУ «ВЦМД НАМН України» та ДНУ «ЦІМТ НАН України».

Критерії включення

Критеріями участі в спостереженні були: діагноз СПКЯ фенотипова форма А або В, встановлений на підставі оцінки додатків менструального циклу впродовж останнього року, ультразвукового підтвердження переважання ановуляторних циклів та наявності полікістозного морфотипу щонайменше одного яєчника, біохімічного підтвердження гіперандрогенії; ознаки легкого або помірного стеатозу печінки (S1, S2), ІМТ більше ніж 25 кг/м², окружність талії (ОТ) більше ніж 80 см та індекс НОМА більше ніж 2,5, що сукупно відповідає МАСХП за клінічними настановами EASL, EASD та EASO щодо ведення пацієнтів зі стеатотичною хворобою печінки, асоційованою з метаболічною дисфункцією від 2024 року (рис. 1) [37].

Рисунок 1. Алгоритм діагностики підтипу стеатотичної хвороби печінки за клінічними настановами EASL, EASD, EASO (2024) Червоними лініями відмічено ознаки, наявні в жінок основної групи та групи порівняння.


Критеріями виключення були: менше ніж 8 років від моменту менархе, вагітність, прийом комбінованих оральних контрацептивів на момент дослідження та протягом останніх трьох місяців, цукровий діабет ІІ типу або переддіабет, наявність інших джерел гіперандрогенії, крім СПКЯ, важкі соматичні захворювання, онкологічні захворювання зокрема й в анамнезі, патологія матки й ендометрія або лікування, яке може завадити оцінці менструального циклу; розлади харчової поведінки; зловживання або помірне часте вживання алкоголю; вірусні, аутоімунні або токсичні гепатити, більш ніж дворазове підвищення рівня печінкових проб, дефіцит вітаміну D, спадкові захворювання або прийом препаратів, що можуть впливати на функцію печінки.

Групи дослідження

Основна група (30 жінок) — отримала рекомендації з модифікації способу життя відповідно до клінічних настанов 2018 року, а також продукт ДуоМіо, що містить МІ 2000 мг, DXI 50 мг, глутатіон 50 мг та фолієву кислоту у формі глюкозамінової солі 5-метилтетрагідрофолату (5-МТГФ) Кватрефолік® (Quatrefolic®) – 400 мкг у дозі 2 саше на добу.

Група порівняння (29 жінок) — отримала рекомендації з модифікації способу життя, аналогічні основній групі.

Дієтологом щомісячно надавались детальні індивідуалізовані рекомендації щодо калорійності та якісного складу харчування на підставі наявних доказів для даної популяції [43]. Також усі пацієнтки отримували детальні роз'яснення щодо необхідності виконання аеробних вправ помірної інтенсивності загальною тривалістю 150–200 хв на тиждень. Лікувальні заходи і спостереження обох груп здійснювались упродовж 4 місяців.

Кінцеві точки дослідження

Основна: оцінити рівень ГЗСГ до початку лікування та після закінчення четвертого місяця рекомендованих заходів (застосування МІ 2000 мг, DXI 50 мг, глутатіон 50 мг, Quatrefolic® 400 мкг по 2 саше на добу та дотримання рекомендацій із харчування і фізичної активності або лише дотримання рекомендацій із харчування та фізичної активності).

Додаткові: для оцінки метаболічного профілю аналізували показники індексу НОМА, ІМТ та ОТ наприкінці четвертого місяця лікування; для оцінки гіперандрогенії – загальний тестостерон та індекс вільного тестостерону (ІВТ) наприкінці четвертого місяця лікування. Також було оцінено динаміку рівнів печінкових ферментів – аланінамінотрансферази (АЛТ) та аспартатамінотрансферази (АСТ).

Для оцінки функції яєчників порівнювали базальну (на 3–5 день спонтанного менструального циклу) концентрацію лютеїнізувального гормону (ЛГ) до лікувальних заходів та через 4 місяці від їхнього початку, а також ознаки овуляції через 4 місяці (фолікулометрія в поєднанні з рівнем прогестерону за потреби).

Методи вимірювання

Антропометричні вимірювання проводили в легкому одязі, без взуття. Масу тіла було виміряно з точністю до 0,1 кг. Зріст і ОТ були виміряні з точністю до 0,5 см. ІМТ розраховували як відношення маси тіла у кілограмах до квадрата зросту в метрах (кг/м²) відповідно до рекомендацій ВООЗ від 2000 року [44]. ОТ вимірювали в середній точці між нижнім краєм останнього ребра та верхньою частиною гребеня клубової кістки стійкою до розтягування стрічкою за умови забезпечення постійного натягу 100 г. Кожне вимірювання проводили двічі; розраховували середню величину за різниці між вимірами в межах 1 см [45].

Рівні загального тестостерону, ГЗСГ та ЛГ визначали в сироватці крові хемілюмінесцентним імуноаналізом (Beckman Coulter DXI 800) – автоматизованим, біотин-незалежним методом (діапазони вимірювання 0,35–111 нмоль/л; 0,63–235 нмоль/л та 0,2–400 Од/л відповідно). АСТ та АЛТ визначались колориметричним методом. Забір зразків проводили на 3–5 день менструального циклу в стандартних умовах.

ІР визначали за індексом HOMA-IR > 2,5. Формула: HOMA-IR = глюкоза (ммоль/л) × інсулін (мкОд/мл) / 22,5 [46]. ІВТ = (загальний тестостерон (нмоль/л) / ГЗСГ (нмоль/л)) × 100 [47].

УЗД органів малого таза проводили із застосуванням апарату Logiq P8 GE Ultrasound (Корея) із частотою 9.7 МГц трансвагінально/трансректально, оцінку жирової інфільтрації печінки — апарата Ultrasign Soneus P7 (стеатометрія 2,43, 2,35, 2,5 Дб/см; еластографія (2D-SWE) 5,67, 5,7, 6,07 кПа) та ультразвукового сканера Ultima PA® із мультичастотним датчиком 3,5–7,0 МГц.

Усіма пацієнтками була підписана інформаційна згода на участь у дослідженні й здійснювалось застосування бар'єрної контрацепції протягом усього часу дослідження. Дизайн спостереження був схвалений Комісією з біоетики ДУ «Інститут педіатрії, акушерства та гінекології імені академіка О.М. Лук'янової НАМН України» (протокол № 2 від 15.03.2024) у межах науково-дослідної роботи «Вивчення особливостей перебігу СПКЯ та розробка комплексу заходів для корекції медико-соціальних наслідків у жінок, які постраждали від війни».

Статистичний аналіз проводився із застосуванням програми «Stata 12.1»: виконана описова статистика (середні, стандартні відхилення, медіани), для порівнянь використовували U-критерій Манна-Уітні, критерій Вілкоксона, для аналізу зв'язків – коефіцієнт кореляції Спірмена (rs). Для порівняння пропорцій використовували точний тест Фішера, для оцінки кратності результатів впливів проводили розрахунок відносного ризику.


Результати

Середній вік жінок в основній групі становив 28,67 ± 2,82 року, у групі порівняння – 28,21 ± 3,12 року, що свідчить про повну вікову відповідність. На початку дослідження (до втручання) групи були статистично порівнюваними за всіма основними параметрами (зріст, ІМТ, ОТ, індекс HOMA, тестостерон, ГЗСГ та ІВТ) (p > 0,05 для всіх показників). Отже, обстежені популяції були порівнюваними на етапі включення, що дало змогу інтерпретувати фінальні результати як безпосередній наслідок різниці в підходах до менеджменту.

Через чотири місяці втручання в обох групах було зафіксовано позитивну динаміку, проте ступінь вираженості змін відрізнявся.

Антропометричні показники та метаболічний профіль

В основній групі ІМТ знизився з 28,60 ± 1,57 до 27,11 ± 1,36 кг/м², а в групі порівняння – з 28,06 ± 1,84 до 27,01 ± 1,77 кг/м² (табл.). Спостерігалося статистично значуще зниження ІМТ як наслідок систематичного дотримання гіпокалорійної дієти та адекватної фізичної активності, а також поєднання цих заходів із комплексною терапією. Попри відсутність статистично достовірної різниці між фінальними абсолютними значеннями ІМТ в обох групах, застосування комплексної терапії забезпечило вищу інтенсивність зниження показника порівняно з ізольованою модифікацією способу життя (p = 0,0022).

Особливої уваги заслуговує динаміка ОТ – ключового маркера вісцерального ожиріння. В основній групі середнє зменшення ОТ склало 3,88 см, що у 2,5 раза перевищило результат групи порівняння (1,52 см; p < 0,001). Зареєстрована редукція вісцероабдомінального жирового депо супроводжувалась покращенням чутливості до інсуліну: індекс HOMA в основній групі знизився на 25,6%, досягнувши середнього значення 2,18 ± 0,25, тоді як у групі порівняння він залишився на рівні 2,49 ± 0,25 – межовий для ІР показник (табл.).

Також таблиця демонструє позитивну динаміку рівнів печінкових ферментів: в основній групі рівень АЛТ знизився на 20,7% (p < 0,001), АСТ – на 10,3% (p = 0,002); в групі порівняння зниження було менш вираженим – АЛТ на 10,2% (p < 0,001), АСТ на 7,7% (p = 0,005). За показником АЛТ основна група продемонструвала достовірно нижчі рівні після лікування (21,88 ± 4,03 Од/л проти 25,21 ± 4,52 Од/л відповідно, p = 0,008).

Таблиця. Динаміка основних показників у пацієнток зі СПКЯ та МАСХП на тлі лікування

Показник Основна група (до) Основна група (після) p (внутрішньогруп.) Гр. порівн. (до) Гр. порівн. (після) p (міжгруп.)
ІМТ (кг/м²) 28,60 ± 1,57 27,11 ± 1,36 <0,001 28,06 ± 1,84 27,01 ± 1,77 0,0022
ОТ (см) 91,42 ± 4,44 87,54 ± 4,44 <0,001 90,17 ± 5,57 88,66 ± 4,84 <0,001
Індекс HOMA 2,93 ± 0,38 2,18 ± 0,25 <0,001 2,89 ± 0,46 2,49 ± 0,25 0,0004
ГЗСГ (нмоль/л) 26,35 ± 4,56 62,88 ± 11,54 <0,001 26,26 ± 3,67 33,77 ± 7,21 <0,001
ІВТ 10,86 ± 3,41 3,78 ± 0,97 <0,001 10,56 ± 2,14 7,76 ± 2,18 <0,001
АЛТ (Од/л) 27,59 ± 4,76 21,04 ± 4,49 <0,001 28,07 ± 4,57 25,21 ± 4,52 0,008
АСТ (Од/л) 21,93 ± 5,25 19,66 ± 3,17 0,002 22,76 ± 5,26 21,01 ± 4,51 0,187

ГЗСГ та андрогенний профіль

На увагу заслуговують результати, отримані під час аналізу динаміки ГЗСГ та ІВТ. В основній групі рівень ГЗСГ зріс на 138% (з 26,35 до 62,88 нмоль/л), тоді як у групі порівняння цей приріст становив лише 28% (рис. 2).

Рисунок 2. Динаміка показників ГЗСГ, загального тестостерону та індексу вільного тестостерону а – p < 0,001 порівняно з показником до лікувальних заходів; б – p < 0,01 порівняно з показником до лікувальних заходів; в – p < 0,001 при зіставленні результатів основної групи та групи порівняння; г – p < 0,05 при зіставленні результатів основної групи та групи порівняння.


Кореляція між гіперандрогенією та інсулінорезистентністю

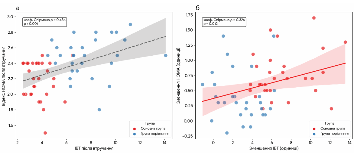
На рисунку 3 представлено результати аналізу взаємозв'язку між ІВТ та індексом HOMA за допомогою діаграм розсіювання з лініями регресії. Після 4 місяців спостереження встановлено статистично значущу позитивну кореляцію середньої сили між абсолютними значеннями ІВТ та індексу HOMA (ρ = 0,494; p < 0,001). Розподіл даних демонструє кластеризацію пацієнток основної групи (червоний колір) у діапазоні низьких значень обох показників (ІВТ < 5, HOMA < 2,5). Натомість показники пацієнток групи порівняння (синій колір) тяжіють до вищих значень і характеризуються більшою дисперсією.

Аналіз зв'язку між величиною покращення показників підтверджує взаємозалежності між ступенем зниження досліджуваних параметрів (ρ = 0,322; p = 0,012): більша величина зниження рівня вільного тестостерону асоціюється з інтенсивнішим зменшенням індексу HOMA. Пацієнтки основної групи демонструють суттєво вищу амплітуду позитивних змін за обома параметрами відносно групи порівняння. Отже, статистичні параметри регресійних моделей підтверджують наявність синергічного зв'язку між зниженням гіперандрогенії та ІР.

Рисунок 3. Зв'язок зниження гіперандрогенії зі зниженням ІР Діаграми розсіювання з лініями регресії. Червоні точки — основна група; сині — група порівняння.


Гонадотропна функція

Аналіз гонадотропної функції продемонстрував виражений регулювальний вплив комплексної терапії на рівень ЛГ. В основній групі спостерігалося статистично значуще зниження концентрації ЛГ у 2,87 раза – з 19,8 ± 2,8 до 6,9 ± 1,2 Од/л (p < 0,001). У групі порівняння динаміка була менш вираженою: рівень ЛГ знизився з 18,5 ± 1,9 до 14,6 ± 2,2 Од/л (p < 0,05). Під час порівняння фінальних показників встановлено, що рівень ЛГ у пацієнток, які отримували МІ та DXI з глутатіоном та 5-МТГФ, був у 2,1 раза нижчим, ніж у групі ізольованої модифікації способу життя (p < 0,001) (рис. 4).

Рисунок 4. Динаміка базальних рівнів ЛГ до та після лікування в досліджуваних групах а – p < 0,001 порівняно з показником до лікувальних заходів у групі; в – p < 0,001 відносно групи порівняння після лікувальних заходів.


Відновлення овуляторної функції

Аналіз частоти відновлення овуляторної функції через 5 місяців спостереження продемонстрував суттєву перевагу запропонованого терапевтичного комплексу (рис. 5). В основній групі частота овуляторних циклів становила 73,3% (22 з 30 пацієнток), що статистично значущо перевищувало показник групи порівняння, де овуляція відновилася лише у 20,7% випадків (6 з 29 пацієнток; p < 0,001 за точним тестом Фішера).

Відносний ризик становив 3,54 (95% ДІ 1,67–7,51), що вказує на те, що застосування комбінації інозитолів із глутатіоном та 5-МТГФ забезпечує в 3,5 раза вищу ймовірність відновлення овуляторної функції порівняно з ізольованою модифікацією способу життя.
Рисунок 5. Частота овуляторних циклів у обстежених жінок за даними УЗД наприкінці п'ятого місяця дослідження * p < 0,001 відносно групи порівняння після лікувальних заходів.



Обговорення

Твердження про те, що зниження ваги на 5% є критичним порогом для відновлення овуляції за СПКЯ, стало загальноприйнятим завдяки низці фундаментальних досліджень 1990-х та початку 2000-х років [48, 49]. Чи залишається воно універсально вірним в умовах сьогодення — за значного посилення дії факторів навколишнього середовища, що сприяють набору маси тіла та ожирінню, та загальної розповсюдженості метаболічних розладів навіть за відсутності надлишку ваги?

Результати проведеного спостереження за групою порівняння, коли 29 жінок із гіперандрогенними формами СПКЯ в поєднанні з МАСХП, які систематично дотримувались індивідуалізованого дієтичного режиму, спрямованого на зниження ваги та належного рівня рухової активності, показали середнє зниження ІМТ на 3,69% (максимальний показник -13,23%). Хоча модифікація способу життя сприяла зниженню ІМТ, вісцеральне ожиріння та ІР демонстрували незначні в клінічному плані зміни, що відобразилось в низькому (20,7%) відсотку відновлення овуляторних циклів. Це підтверджує складну природу генезу та персистенції надлишку жирової тканини за СПКЯ, що є водночас і причиною, і наслідком ключових тісно пов'язаних між собою патогенетичних ланок синдрому: ІР, гіперандрогенії та овуляторної дисфункції. Збереження індексу HOMA на рівні, межовому для ІР, створює ризик втрати результатів зниження ІМТ із відповідними наслідками. Тож дані, отримані від групи порівняння, підтверджують необхідність додаткових різнобічних заходів для комплексної нормалізації гормональних та метаболічних розладів.

Проте перш ніж перейти до аналізу наведених результатів основної групи, слід зазначити базову важливість дотримання дієтичних рекомендацій та рухової активності. Необхідно розглядати нутрієнтну та фармакологічну підтримку як трамплін для швидшого та легшого досягнення належного метаболічного благополуччя та опору для його тривалої і систематичної підтримки.

Результати, отримані в основній групі, відповідають даним попередніх досліджень щодо ефективності поєднання комбінацій ізомерів МІ + DХІ (40:1) для зниження ІМТ, ОТ, ІР, симптомів гіперандрогенії та біохімічної гіперандрогенії, а також покращення овуляторної функції за СПКЯ [17, 50, 51]. Досягнення цих ефектів базувалося на двох доведених механізмах комбінацій МІ та DХІ: покращення чутливості тканин до інсуліну та взаємодії ФСГ із клітинами гранульози [18, 52, 53].

Щораз більша кількість епідеміологічних даних про поєднання СПКЯ з МАСХП і множинні спільні фактори етіології та патогенезу спонукають до перегляду підходів ведення гіперандрогенних форм СПКЯ саме з урахуванням фактору жирової інфільтрації печінки [28, 31]. Це важливо як з огляду на більш ефективну корекцію гіперандрогенії та овуляторної дисфункції в моменті звернення пацієнтки через ці симптоми, так і профілактики кардіометаболічних розладів у майбутньому. Адже саме початкові етапи жирової інфільтрації печінки на тлі ІР та гіперандрогенії підлягають повному регресу завдяки мінімальним втручанням, водночас стадії фіброзу асоційовані з більш важкими метаболічними розладами і є значно важчими для корекції [37]. Наразі існує небагато досліджень із вивчення ролі втручань для покращення функції печінки в перебігу гіперандрогенних форм СПКЯ [54]. Це обумовлено практичною відсутністю специфічної терапії МАСХП [37].

Отримані нами результати застосування комплексу МІ та DХІ (40:1) у поєднанні з глутатіоном та 5-МТГФ протягом 4 місяців продемонстрували високу ефективність при лікуванні СПКЯ в поєднанні з МАСХП. Ключовим досягненням стало покращення білоксинтезуючої функції печінки, що проявилося зростанням рівня ГЗСГ на 138,4% (з 24,2 ± 4,1 до 57,7 ± 6,4 нмоль/л; p < 0,001). Це призвело до зниження ІВТ у 2,87 раза (з 10,6 до 3,7 Од; p < 0,001), що значно перевищило результати ізольованої модифікації способу життя. На фоні корекції андрогенного профілю відбулася нормалізація гонадотропної функції: рівень ЛГ знизився у 2,87 раза (з 19,8 до 6,9 Од/л; p < 0,001). Метаболічні покращення супроводжувалися достовірним зниженням ІР (індекс HOMA знизився на 16,3%) та маси тіла (середнє зниження ІМТ на 5,18%). Кумулятивним результатом терапії стало відновлення овуляторних циклів у 73,3% пацієнток (p < 0,001), що підтверджує ефективність мультимодального впливу на гепато-оваріальну вісь у жінок зі СПКЯ.

Роль глутатіону

Глутатіон є головним ендогенним антиоксидантом, який відіграє критичну роль у захисті гепатоцитів від окисного стресу – ключового чинника прогресування стеатотичної хвороби печінки. Печінка є основним депо глутатіону в організмі, де він бере участь у процесах детоксикації (через ферменти глутатіон-S-трансферази) та підтримці редокс-гомеостазу. Дослідження вказують на те, що розвиток стеатозу та його перехід у стеатогепатит тісно пов'язані з виснаженням запасів глутатіону.

За хронічного перевантаження ліпідами мітохондрії печінки генерують надмірну кількість активних форм кисню. Дефіцит глутатіону замикає хибне коло: накопичення вільних радикалів посилює перекисне окиснення ліпідів, що призводить до пошкодження мембран гепатоцитів, запалення та активації фіброгенезу. Сучасні наукові дані підтверджують, що екзогенне введення глутатіону або його попередників має перспективи щодо покращення стану печінки [42, 55, 56].

Рівні печінкових ферментів в досліджуваних групах відповідали стану жирової інфільтрації печінки без активного запалення: переважно в межах референтних інтервалів з більш високими рівнями АЛТ порівняно з АСТ. Зниження рівнів АЛТ та АСТ в обох групах на тлі лікувальних заходів можна інтерпретувати як показник стабілізації мембран гепатоцитів та зниження ризику запалення і фіброзу на тлі зниження загального та вісцерального жирового депо, ІР, гіперандрогенії та окисного стресу. Статистично значуще більше зниження рівня АЛТ, як найбільш раннього і чутливого маркера пошкодження гепатоцитів, в основній групі порівняно з показником до лікувальних заходів та з групою порівняння після лікувальних заходів підтверджує доцільність застосованої комплексної терапії в поєднанні з модифікацією способу життя.

Отже, можна стверджувати, що додавання екзогенного глутатіону (100 мг на добу) до комбінації МІ + DХІ (40:1) надало додаткові можливості для нормалізації секреції ГЗСГ, який зв'язує надлишковий тестостерон у системному кровотоці. Отже, синергія МІ + DХІ (40:1) та глутатіону забезпечує комплексний ефект: інозитоли відновлюють внутрішньоклітинний сигналінг інсуліну в печінці, м'язах та жировій тканині, а також сигналінг ФСГ в яєчниках, водночас глутатіон зменшує оксидативне пошкодження гепатоцитів, що сприяє зниженню вільної фракції тестостерону, зменшенню пошкодження гепатоцитів, зниженню печінкової ІР, кращому кліренсу інсуліну та тестостерону.

Мультимодальні ефекти комплексу

Отримана клінічна ефективність базується на патогенетично обґрунтованому складі застосованого комплексу, що забезпечує мультимодальні ефекти, необхідні для впливу на взаємопов'язані гормональні й метаболічні розлади за СПКЯ (рис. 6).

МІ + DХІ (40:1)
  • ↓ ІР та компенсаторної гіперінсулінемії за рахунок нормалізації сигналінгу інсуліну
  • ↓ ЛГ за рахунок нормалізації інсуліну
  • ↑ ГЗСГ внаслідок зниження гіперінсулінемії та збільшення естрадіолу
  • ↓ гіперсекреція тестостерону яєчниками за рахунок покращення чутливості фолікулів до ФСГ
  • ↑ естрадіолу за рахунок збільшення ароматизації андрогенів
  • ↓ вільного тестостерону за рахунок ↑ ГЗСГ та ↓ загального тестостерону через нормалізацію ЛГ
  • ↓ вільних жирних кислот, нормалізація ІМТ, вісцерального жиру
Глутатіон
  • ↓ ІР печінки та зменшення вільнорадикального окислення
  • ↑ ГЗСГ шляхом зменшення оксидативного стресу
  • ↑ кліренсу інсуліну та тестостерону
  • ↓ чутливості гепатоцитів до інсуліну (відновлення)
  • Нормалізація ліпідного профілю
  • Попередження фіброзу
5-МТГФ (Quatrefolic®)
  • Метилювання, профілактика гіпергомоцистеїнемії
  • Підтримка якості ооцитів
  • Прегравідарне дозування 400 мкг/добу
  • Засвоюється навіть за наявності генетичних мутацій фолатного циклу (MTHFR)
Рисунок 6. Узагальнення мультимодальних ефектів комплексу ДуоМіо у пацієнток зі СПКЯ в поєднанні з МАСХП Схема патофізіологічних зв'язків між СПКЯ та МАСХП і точки прикладення МІ+DХІ (40:1) 2000/50 мг + глутатіон 50 мг + 5-МТГФ 400 мкг.


Зокрема, співвідношення МІ та DХІ 40:1 у добовому дозуванні 4000/100 мг відповідає фізіологічному балансу в плазмі крові та узгоджується з підходами Асоціації лікарів Канади [57]. Така формула дає змогу уникнути «оваріального парадокса», забезпечуючи організм необхідним DХІ для подолання системної ІР, водночас зберігаючи високий пул МІ в яєчниках для якісного фолікулогенезу.

Важливим аспектом є наявність активного фолату четвертого покоління (Quatrefolic®) у прегравідарному дозуванні, що гарантує засвоєння навіть за наявності генетичних мутацій фолатного циклу. Додаткову перевагу забезпечують форма випуску – саше – та відсутність цукру у складі ДуоМіо, що виключає конкуренцію глюкози за SMIT-транспортери та максимізує біодоступність інозитолів.

Результати проведеного дослідження доводять, що для пацієнток із класичними фенотипами СПКЯ та супутньою жировою інфільтрацією печінки традиційні підходи потребують тривалого часу ретельної модифікації способу життя, що не завжди можливо в сучасних умовах, а з урахуванням нейропсихологічних особливостей жінок зі СПКЯ становить ще більший виклик. Включення глутатіону та активного фолату Quatrefolic® до схеми з інозитолами дає змогу не просто покращити показники, а досягти фізіологічної норми ГЗСГ, що є фундаментом для довгострокової стабілізації гормонального профілю та зниження кардіометаболічних ризиків. Ця стратегія дає змогу розірвати хибне коло двобічних зв'язків між СПКЯ та МАСХП.


Висновки

Висновки дослідження

Результати проведеного дослідження, об'єднані з наявним пулом даних про ефективність комбінованого застосування ізомерів інозитолу МІ та DХІ в співвідношенні 40:1 і сполук, що покращують стан гепатоцитів, підтверджують доцільність такої практики для досягнення оптимальних результатів не лише відновлення овуляторних циклів та зменшення гіперандрогенії у пацієнток зі СПКЯ, а й для впевненої, досяжної профілактики кардіометаболічних ризиків із віком.

Додавання глутатіону та Quatrefolic® до стандартної терапії інозитолами (у співвідношенні 40:1) демонструє виражений синергічний ефект. Такий підхід дає змогу відновити синтетичну функцію печінки, нормалізувати рівень ГЗСГ та ефективно коригувати гормональні й метаболічні порушення в пацієнток зі СПКЯ і супутньою жировою інфільтрацією печінки, що суттєво переважає стандартні рекомендації щодо зміни способу життя.

Ця стратегія дозволяє розірвати хибне коло двобічних зв'язків між СПКЯ та МАСХП і забезпечити досяжну профілактику кардіометаболічних ризиків у довгостроковій перспективі.

Т.Ф. Татарчук — д. мед. н., професорка, чл.-кор. НАМН України, заступниця генерального директора з наукової роботи, завідувачка відділення ендокринної гінекології ДУ «Всеукраїнський центр материнства та дитинства НАМН України», головна наукова співробітниця відділу репродуктивного здоров'я ДНУ «Центр інноваційних медичних технологій НАН України», м. Київ. ORCID: 0000-0002-5498-4143
Т.М. Тутченко — к. мед. н., старша наукова співробітниця відділення ендокринної гінекології ДУ «Всеукраїнський центр материнства та дитинства НАМН України», відділу репродуктивного здоров'я ДНУ «Центр інноваційних медичних технологій НАН України», м. Київ. ORCID: 0000-0002-3003-3650
Е.Ф. Чайківська — д. мед. н., професорка кафедри акушерства, гінекології і перинатології Львівського національного медичного університету ім. Данила Галицького, м. Львів. ORCID: 0000-0002-9150-1497
Е.Г. Крістіан — д. мед. н., професорка кафедри пропедевтики внутрішньої медицини № 2 НМУ ім. О.О. Богомольця, виконавча директорка Інституту глобального довголіття, керівник напряму гепатології клініки Verum Expert, м. Київ. ORCID: 0000-0003-0920-4627
Р.О. Мневець — аспірант відділення ендокринної гінекології ДУ «Всеукраїнський центр материнства та дитинства НАМН України», асистент кафедри педіатрії, акушерства і гінекології ННЦ «Інститут біології та медицини» Київського національного університету ім. Тараса Шевченка, м. Київ. ORCID: 0000-0001-9614-5762
Контакт: Тутченко Тетяна Миколаївна — ttutchenko@gmail.com
Склад ДуоМіо (1 саше): Міо-інозитол 2000 мг · D-хіро-інозитол 50 мг · Quatrefolic® (5-МТГФ) 400 мкг · L-глутатіон 50 мг
Добова доза: 2 саше
Форма випуску: саше без цукру (відсутність конкуренції глюкози за SMIT-транспортери — максимальна біодоступність інозитолів)
Виробник: «Сістем Фарм»

ДуоМіо, №30 саше

1390 грн.

Акція 5+1! ДуоМіо, №30 саше

8340 грн.

0 перегляди

0 коментарів

Коментарі (0)

Залишити коментар

Останні пости у блозі

Дивитися всі
Дивитися всі

Пігульня №1

Пігульня №1

Пігульня №1

Пігульня №1

Пігульня №1

Пігульня №1

Пігульня №1

Пігульня №1

Пігульня №1

Пігульня №1

Пігульня №1

Пігульня №1

Пігульня №1

Пігульня №1

Пігульня №1

Пігульня №1

Пігульня №1

Пігульня №1

Пігульня №1

Пігульня №1

Пігульня №1

Пігульня №1

Пігульня №1

Пігульня №1

Пігульня №1

Пігульня №1

Пігульня №1

Пігульня №1

Хочеш отримати безкоштовну консультацію нутриціолога?

Залишай свої данні і ми звʼяжемось з тобою найближчим часом.